本文件规定了饲料添加剂天(门)冬氨酸的技术要求、取样、试验方法、检验规则及标签、包装、运输、贮存和保质期。本文件适用于以玉米、淀粉、糖质等为主要原料通过微生物发酵或酶促转化,经提取、结晶、干燥等工艺制得的饲料添加剂天(门)冬氨酸。

范围、别名、化学名称、分子式、相对分子质量和结构式
本文件规定了饲料添加剂天(门)冬氨酸的技术要求、取样、试验方法、检验规则及标签、包装、运输、贮存和保质期。
本文件适用于以玉米、淀粉、糖质等为主要原料通过微生物发酵或酶促转化,经提取、结晶、干燥等工艺制得的饲料添加剂天(门)冬氨酸。
本文件没有需要界定的术语和定义。
别名
L-天门冬氨酸、L-门冬氨酸、L-天冬氨酸
化学名称
L-2-氨基丁二酸、L-2-氨基琥珀酸
分子式
C4H7NO4
相对分子质量
133.10
注:按2022年国际相对原子质量
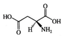
结构式

技术要求
外观与性状
本产品为白色结晶或结晶性粉末,无明显杂质和异物,无臭,味酸,微溶于水。
技术指标
应符合表1的要求。

取样
按照 GB/T 14699.1 的规定执行。
试验方法
天(门)冬氨酸含量
试剂或材料
无水甲酸。
冰乙酸。
高氯酸标准滴定溶液:c(HClO4)=0.1moL/L。
仪器设备
电位滴定仪:精度为±0.1mV。
日本京都电子KEM适配仪器,一键点击直达:
京都电子KEM 电位滴定法自动电位滴定仪 AT-710S

京都电子KEM 自动电位滴定仪AT-710 操作动画演示:
分析天平:精度为0.01g。
试验步骤
平行做两份试验。称取试样0.1g,精确至0.01g,加无水甲酸5mL溶解后,加冰乙酸30mL,用高氯酸标准滴定溶液滴定。同法做空白试验。
试验数据处理
天(门)冬氨酸含量(C4H7NO4,以干基计)以质量分数ω1计,数值以百分含量(%)表示,按式(1)计算:

式中:
V ——试样溶液消耗高氯酸标准滴定溶液的体积的数值,单位为毫升(mL);
V0——空白溶液消耗高氯酸标准滴定溶液的体积的数值,单位为毫升(mL);
c ——高氯酸标准滴定溶液浓度的准确数值,单位为摩尔每升(mol/L);
M——天(门)冬氨酸的摩尔质量的数值,单位为克每摩尔(g/mol)(M=133.10);
m——试样的质量的数值,单位为克(g);
w ——试样的干燥失重测定的数值,单位为百分含量(%);
1000——体积转换系数。
试验结果以平行测定结果的算术平均值表示,保留至小数点后一位。
精密度
在重复性条件下,两次独立测定结果的差值不大于0.3%。