京都电子KEM中国 官方产品咨询电话:400-820-2557、021-54488867 咨询邮箱:kemu-kem@163.com

DB36/T 2107-2024 水质 高锰酸盐指数的测定 氧化还原自动滴定法
京都电子KEM产自动电位滴定仪 AT-710S 检验水质的高锰酸盐指数
范围
本文件规定了水质中高锰酸盐指数的氧化还原自动滴定方法。
本文件适用于地表水、 地下水和饮用水(饮用水源地)的测定,方法检出限为0.1mg/L,测定范围为0.4mg/L~4.5mg/L。对高锰酸盐指数较高的水,可适当稀释后测定。
本文件不适用于测定工业废水中有机污染较重的水。
样品中无机可氧化物质如NO2-,S2-,Fe2+等可被测定。
下列术语和定义适用于本文件。
高锰酸盐指数 permanganate index
反映水体中有机物及无机可氧化物质污染的常用指标。
注1:在一定条件下,用高锰酸钾氧化水样中的某些有机物及无机可氧化物质,由消耗的高锰酸钾量计算相当的氧量。
注2:高锰酸盐指数不能作为理论需氧量或总有机物含量的指标,因为在规定的条件下,许多有机物只能部分的被氧化,易挥发的有机物也不包含在测定值之内。
氧化还原自动滴定法 automatic redox titratio
以氧化还原反应为基础的自动滴定分析方法,通过仪器实现自动加液、 自动滴定并判断滴定终点。
方法原理
样品中加入已知量高锰酸钾和硫酸,在沸水浴中加热30min,高锰酸钾将样品中的某些有机物和无机可氧化物质氧化, 反应后加入过量的草酸钠还原剩余的高锰酸钾,再用高锰酸钾标准溶液回滴过量的草酸钠,通过计算得到样品中高锰酸盐指数。
试剂和材料
除非另有说明,分析时均使用符合国家标准的分析纯试剂。实验用水为符合 GB/T 6682 的三级蒸馏水或同等纯度的水,不得使用由交换树脂法得到的含有有机物或还原性物质的去离子水。
硫酸(H2SO4):ρ=1.84g/mL。
草酸钠(Na2C2O4):基准试剂。使用前应经(105±2)℃干燥2h,并在干燥器中冷却至室温。
高锰酸钾(KMnO4):优级纯。
硫酸溶液(1+3):在不断搅拌下,将100mL硫酸慢慢加入到300mL水中。趁热加入数滴高锰酸钾溶液,直至溶液出现粉红色。
草酸钠标准贮备液:浓度c1(1/2 Na2C2O4)为0.1000mol/L。准确称取0.6705g草酸钠,溶于少量水,转移至100mL容量瓶中,用水稀释至标线,混匀。此溶液于4℃以下冷藏保存,有效期2个月。亦可购买市售有证标准溶液。
草酸钠标准使用液:浓度c2(1/2 Na2C2O4)为0.0100mol/L。移取50.00mL草酸钠贮备液于500mL容量瓶中,用水稀释至标线,混匀,临用现配。
高锰酸钾标准贮备液:浓度c3(1/5 KMnO4)约为0.1mol/L。称取3.2g高锰酸钾置于烧杯中,溶解于适量水并稀释至1000mL,于90℃~95℃水浴中加热2h。加盖存放两天后,倾出上清液或用玻璃砂芯漏斗过滤,贮于棕色瓶中,有效期2个月。亦可购买市售有证标准溶液。
高锰酸钾标准使用液:浓度c4(1/5 KMnO4)约为0.01mol/L。移取100mL高锰酸钾标准贮备液于1000mL容量瓶中,用水稀释至标线,混匀。此溶液在暗处保存,使用当天标定其浓度。
仪器和设备
高锰酸盐指数水质自动分析仪:能实现水样自动加热、自动加液、自动滴定和高锰酸钾标准使用液的自动标定;水浴区能保持微沸状态,具备自动补水功能;滴定区域能保持温度在60℃~80℃之间。
分析天平:精度为0.0001g。
移液管:10mL、25mL、50mL、100mL。
一般实验室常用仪器设备。
京都电子KEM 全自动电位滴定仪 AT-710S 为测定水质的高锰酸盐指数 提供准确可靠且安全的解决方案。
一键直达:
京都电子KEM 自动电位滴定仪AT-710 操作动画演示:
样品采集和保存
按照 HJ 91.2、HJ 164 和 HJ 493 等相关规定采集和保存样品,如样品不能立即分析,应加入硫酸至pH≤2,4℃以下冷藏避光保存,2d内测定。
分析步骤
仪器预热
接通电源后,按照仪器说明书的规定进行高锰酸盐指数水质自动分析仪的预热,确认仪器各部分功能运行正常。测定前将试剂管路置于对应的试剂容器中,并润洗管路2~3次。
空白试验
移取100.0mL实验用水置于样品杯中,在高锰酸盐指数水质自动分析仪上设置样品信息后等待测定。仪器将自动执行以下测定步骤:高锰酸盐指数水质自动分析仪将水浴温度升至100℃,自动添加5mL硫酸溶液(1+3)和10.00mL高锰酸钾标准使用液于样品杯中,水浴(30±2)min;水浴完成后仪器自动将样品杯移取至滴定区域(温度保持在60℃~80℃),自动添加10.00mL草酸钠标准使用液,混匀后用高锰酸钾标准使用液自动滴定。
高锰酸钾标准使用液的标定
空白试验测定完毕后,仪器自动标定高锰酸钾标准使用液的浓度。向空白试验滴定后的溶液中加入10.00mL草酸钠标准使用液,用高锰酸钾标准使用液滴定至刚出现粉红色,并保持30s不褪色即为滴定终点。
样品的测定
移取100. 0mL充分混匀的水样置于样品杯中,在高锰酸盐指数水质自动分析仪上设置样品信息后执行与空白试验相同的测定步骤。如水样中有机物含量较高,可取适量水样经稀释后进行测定。
数据处理
测定完成后,仪器自动记录滴定所消耗的高锰酸钾标准使用液体积, 并计算结果。
结果计算与表示
结果计算
高锰酸盐指数(IMn)以每升样品消耗毫克氧数来表示(O2,mg/L),按式(1)计算。![]()
式中:
IMn ——水样的高锰酸盐指数,单位为毫克每升(mg/L);
V1 ——样品测定时,消耗高锰酸钾标准使用液体积,单位为毫升(mL);
V2 ——标定时,所消耗高锰酸钾标准使用液体积,单位为毫升(mL);
c2 ——草酸钠标准使用液,c2(1/2 Na2C2O4)为0.0100摩尔每升(mol/L);
8 ——与1.00mL高锰酸钾标准使用液相当的以毫克(mg)表示氧的质量。
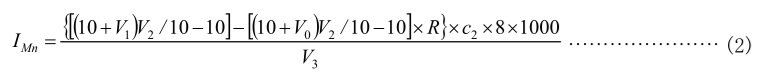
如样品经稀释后测定,按式(2)计算。
式中:
IMn ——水样的高锰酸盐指数,单位为毫克每升(mg/L);
V1 ——样品测定时,消耗高锰酸钾标准使用液体积,单位为毫升(mL);
V2 ——标定时,所消耗高锰酸钾标准使用液体积,单位为毫升(mL);
V0 ——空白试验时,消耗高锰酸钾标准使用液体积,单位为毫升(mL);
R ——稀释样品时,稀释水在100mL测定用体积内所占比例(例如:10mL样品用水稀释至100mL,则R=0.90);
c2 ——草酸钠标准使用液,c2(1/2 Na2C2O4)为0.0100摩尔每升(mol/L);
8 ——与1.00mL高锰酸钾标准使用液相当的以毫克(mg)表示氧的质量;
V3 ——测定时所取样品体积,单位为毫升(mL)。
结果表示
当测定结果<100mg/L时,保留至小数点后1位;当测定结果≥100mg/L时,保留3位有效数字。
可睦电子 KEM CHINA
电话:400-820-2557 邮编:200030 传真:021-54480010 公司地址:上海市徐汇区宜山路333号汇鑫国际大厦1201室
Copyright(C) 2012–2023 可睦电子(上海)商贸有限公司 沪ICP备10207403号-1 沪公网安备31010402002220号 沪(徐)应急管危经许[2022]203762
本网站尚在建设中,部分资料有所缺失,若有不便,敬请谅解!