本文件规定了固化剂2-异丙基-3-羟乙基-1,3-噁唑烷(简称IPHEO)的术语和定义、分子式、结构式、相对分子质量、CAS号、技术要求、试验方法、检验规则和标志、包装、运输和及贮存等内容。本文件适用于由二乙醇胺与异丁醛进行反应生产的化合物的检验。
T/CSTM 01045-2024 固化剂 2-异丙基-3-羟乙基-1,3-噁唑烷(IPHEO)
京都电子KEM产容量法卡尔·费休水分测定仪 MKV-710S、自动电位滴定仪 AT-710S 、U型振动管法数字式密度计 DA-840 测定
固化剂 2-异丙基-3-羟乙基-1,3-噁唑烷(IPHEO) - 水分、胺当量、相对密度(25°C)
范围
本文件规定了固化剂2-异丙基-3-羟乙基-1,3-噁唑烷(简称IPHEO)的术语和定义、分子式、结构式、相对分子质量、CAS号、技术要求、试验方法、检验规则和标志、包装、运输和及贮存等内容。
本文件适用于由二乙醇胺与异丁醛进行反应生产的化合物的检验。
本文件没有需要界定的术语和定义。
分子式、结构式、相对分子质量、CAS号
分子式
C8H11O2N。
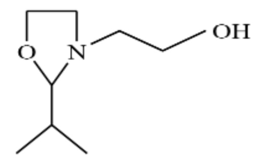
结构式

相对分子质量
相对分子质量:159.229(按2022年国际相对原子质量)
CAS号
CAS RN: 28770-01-6
技术要求
产品技术要求应符合表1的规定。

试验方法
水分的测定
按 GB/T 6283-2008 中的第8章直接电量滴定法规定进行测定,称样量为1g,精确至0.0001g。
GB/T 6283-2008 化工产品中水分含量的测定 卡尔·费休法(通用方法)
胺当量的测定
试剂和材料
冰醋酸[64-19-7]。
高氯酸标准滴定溶液:0.1mol/L。
仪器设备
电位滴定仪
电子天平:分度值为0.0001g。
试验步骤
称取0.2g的试样,精确至0.0001g,于滴定杯中,加入30mL冰醋酸,搅拌均匀。用高氯酸标准滴定溶液滴定,记录消耗的的高氯酸标准滴定溶液体积,并进行空白试验。
结果计算
胺当量按式(1)计算:

式中:
X1 ——试样的胺当量,单位为克每摩尔(g/mol);
c ——高氯酸标准滴定溶液浓度的准确数值,单位为摩尔每升(mol/L);
V0 ——空白试验滴定终点消耗高氯酸标准滴定溶液的体积的数值,单位为毫升(mL);
V1 ——试样滴定终点消耗高氯酸标准滴定溶液的体积的数值,单位为毫升(mL);
m ——试样的质量的数值,单位为克(g)。
相对密度(25°C)测定
按 GB/T 2013-2010 中的第6章试验方法B-U型振动管法有规定进行测定。
GB/T 2013-2010 液体石油化工产品密度测定法
京都电子KEM 全自动电位滴定仪 AT-710S、卡尔费休水分仪 MKV-710S、 U形振荡管密度仪 DA-840 为测定2-异丙基-3-羟乙基-1,3-噁唑烷(IPHEO) 的水分、胺当量、相对密度(25°C)提供准确可靠且安全的解决方案。
一键直达:

京都电子KEM 自动电位滴定仪AT-710 操作动画演示:

MKV-710系列操作视频:
京都电子KEMU型振荡管数字密度计 DA-8XX系列操作演示与功能简介视频: